- 如何使用壓差傳感器測量機械呼吸機中的氣體流量
- 來源:賽斯維傳感器網 發表于 2021/3/11
在本文中,我們將探討壓力傳感在機械通風中的另一有趣應用。
在本系列的上一篇文章中,我們看到壓力傳感器是機械通風的關鍵要素。除了測量氣道壓力和大氣壓力外,壓力傳感器還可以調節所呼吸的氧氣濃度。
在本文中,我們將研究壓力傳感在機械通風中的另一有趣應用,即使用差壓傳感器測量氣體流量。我們首先來看流體力學的兩個基本概念:伯努利方程和連續性方程。然后,結合這兩個概念,我們將得出一個將體積流量與壓差值相關聯的方程。
伯努利方程
假設流體流經橫截面變化的管道,如圖1所示。流體進入左側橫截面,并從管道的右端流出。

圖1.具有不同橫截面的管道圖。
在上圖中,h 1和h 2分別表示在橫截面1和2處地球表面上方的流體高度。在管道直徑遠小于管道高度的情況下,我們可以假定給定橫截面中的所有流體粒子幾乎都處于相同的高度。將能量守恒定律應用于橫截面1和2的流體粒子,我們可以得出以下方程式:

其中P是流體壓力,ρ是流體的密度,V表示流體速度,g是由于重力引起的加速度。帶下標1和2的變量 分別對應于橫截面1和2處的流體參數。
上面的方程式通常被稱為伯努利方程式。這不是新的物理定律,而僅僅是能量守恒定律的結果:管道輸入處的能量應等于輸出處的能量。伯努利方程的壓力項與給定橫截面后面的流體粒子對流體所做的功有關。
伯努利方程式的第二項表示流體動能,第三項表示其勢能。有關伯努利方程式的證明,您可以參考此視頻了解伯努利方程式。請注意,伯努利方程對于以非湍流,穩態方式流動的不可壓縮非粘性流體有效。
對于特殊情況 h1≈h2,伯努利方程簡化為:

連續性方程
根據質量守恒定律,質量既不能創造也不能破壞。經典力學中的這一原理以及有關流體流動的一些假設可以幫助我們將流體通過的橫截面積(A)與流體速度(V)相關聯。考慮流體通過橫截面變化的管道的穩定流動,如圖2所示。

圖2.通過橫截面變化的管道的穩定流動。
在流量穩定的情況下,給定點處的流體速度,密度和壓力不會隨時間變化。
假設流體以的速度進入管道的左端V1。超過橫截面積的流體顆粒A1 將會經過 Δx1 一小段時間后Δt。
行進的距離可以用速度表示為Δx1=V1Δt。也就是說,在以下時間間隔內進入管道的流體量Δt 是 A1V1Δt。將該值乘以流體密度可得出進入管道的質量,如下所示:ρA1V1Δt。同樣,我們可以計算從管道右端出來的質量,如下所示:ρA2V2Δt。
根據質量守恒定律,進入管道的質量應等于離開管道的質量。因此,我們有

簡化為:

該方程是一維流動的連續性方程。它指出,橫截面積與該橫截面上的流體速度的乘積是恒定的。
以上推導基于關于流體流動的一些假設。例如,我們假設給定點的流體速度和密度不隨時間變化(流量穩定)。此外,管道左端的流體密度等于右端的流體密度。換句話說,流體是不可壓縮的。
從壓差計算流量
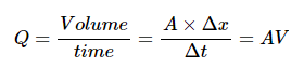
使用伯努利方程式和連續性方程式,我們可以找到每秒流動的流體量。在流體動力學中,該參數指定每秒流過的立方米流體的數量稱為體積流量。基于此定義,用Q表示的體積流量由下式給出:

在給定的時間間隔內,經過管道橫截面的流體量(Δt)可以表示為管道橫截面積(A)乘以流體傳播的距離(ΔX)。

在哪里 ΔXΔt;用流體速度V代替。因此,我們可以通過簡單地測量流體速度來計算流體的體積流速。可以通過將上面討論的概念應用于具有變化的橫截面的管道來實現速度測量,如圖3所示。

圖3.描述如何找到具有不同橫截面的管道的速度測量值。
注意連接到壓力傳感器的兩個端口,以測量沿管道的壓力差。
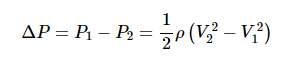
根據等式1,我們有

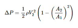
將方程式2代入上述方程式,我們得到:

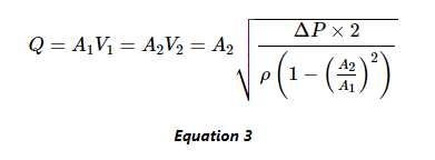
該方程將流體速度(V2)與壓差和管道尺寸相關聯。現在,我們可以將流體的體積流量(Q)計算為:

測量氣體的體積流量
伯努利方程和連續性方程都是基于流體不可壓縮的假設得出的。通常,氣體是可壓縮的,因此我們無法使用上述方法來測量氣體的流量。
但是,當氣體的速度充分低于聲速時,氣體密度的變化可以忽略不計,我們可以假定它是不可壓縮的。此外,對于被視為不可壓縮的氣體,溫度沿其流動路徑不應發生明顯變化。幸運的是,有滿足這些條件的應用,例如機械呼吸機中的氣流。
測量機械呼吸機中的氣體流量
一些呼吸機和肺活量計使用本文所述的方法來測量流入和流出患者肺部的空氣。要嘗試使用此處討論的概念,您可以3D打印類似于圖3所示的試管,盡管您可能必須先做幾次實驗才能找到合適的試管尺寸。對于給定的管,等式3可以重寫為

在哪里ksystem是一個將差壓與氣流相關聯的常數值。如果您可以使用在已知時間內吹入一定量空氣的機器,則可以進行一些實驗來測量系統常數,而不是對其進行計算。
另一種解決方案是使用市售的氣動力。如圖4所示,氣動泵在氣流中插入一個遮光罩,以產生一個已知的壓降,該壓降與風速成正比。

圖4. 插入氣流中的光幕可產生與空氣流速成比例的壓降。圖片由Richard Johnston提供 [ CC BY-NC 4.0 ]
結論
在本文中,我們介紹了一種測量機械通風中氣體流量的方法。該方法基于流體力學的兩個基本概念:伯努利方程和連續性方程。結合這兩個概念,我們得到了一個方程,該方程將氣流與沿管道的壓差相關聯。
除此處討論的技術外,還有幾種其他測量氣流的方法。其中一些技術比其他技術更線性,但沒有一個是完全線性的。基于市售氣動泵的流量傳感器可以是測量氣體流速的最線性的方法之一。
- 如果本文收錄的圖片文字侵犯了您的權益,請及時與我們聯系,我們將在24內核實刪除,謝謝!















